Parents considering plant-based diets for their infants now have solid evidence: children raised vegan or vegetarian grow at nearly identical rates to those eating meat and dairy, according to a decade-long study of Israeli health records.
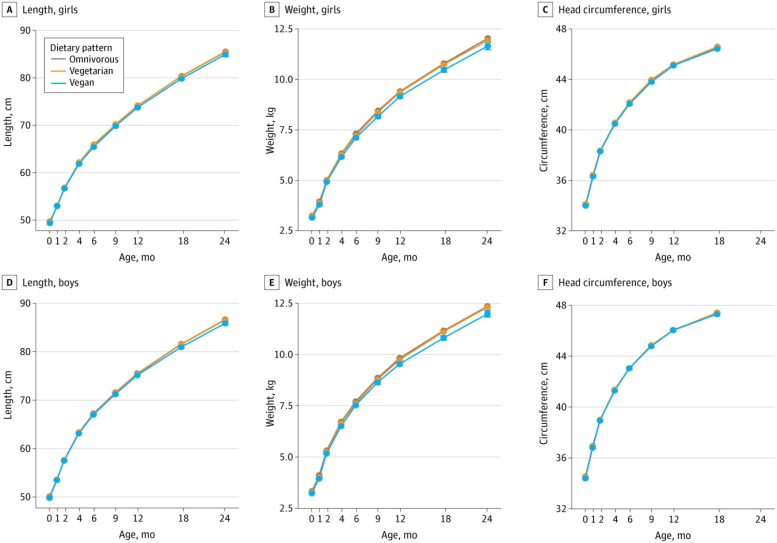
Researchers at Ben Gurion University analyzed growth data from 2014 to 2023 covering roughly 70% of infants monitored by the Israeli Ministry of Health. The scale matters. Instead of relying on small surveys or self-reported feeding choices, they tracked actual measurements—weight, length, head circumference—from nearly 1.2 million children. The findings, published in JAMA Network Open, show that average differences between dietary groups were small enough that they don't translate to meaningful health outcomes.
How the Numbers Actually Break Down

In the first two months of life, infants in vegan households did show a slightly higher rate of being underweight compared to omnivorous peers. That gap is real, but it narrows substantially over time. By age two, stunting rates (a measure of chronic undernutrition) were nearly identical across all groups: 3.1% among children eating omnivorous diets, 3.4% among vegetarians, and 3.9% among vegans. The differences weren't statistically significant.
We're a new kind of news feed.
Regular news is designed to drain you. We're a non-profit built to restore you. Every story we publish is scored for impact, progress, and hope.
Start Your News Detox


The key word here is "with proper planning." Kerem Avital, the lead researcher, was careful to emphasize that these results apply to families with access to nutritional counseling during pregnancy and infancy, in a developed healthcare system. The data suggest that plant-based diets don't inherently compromise infant development—but they do require thoughtfulness. A vegan diet cobbled together from processed foods and guesswork is different from one built around whole grains, legumes, fortified foods, and professional guidance.
This matters because plant-based eating is no longer fringe. It's becoming a mainstream choice in wealthy countries, and families deserve evidence-based reassurance rather than either cheerleading or worst-case scenarios. This study provides that middle ground: yes, it works, and here's what you need to know to do it well.
As dietary diversity becomes more common globally, research like this helps shape realistic public health guidance for the next generation of parents.










